Сделки

Здесь публикуем скриншоты сделок.

Обязательно указываем:

  • Инструмент
  • Тип сделки (покупка или продажа)
  • Цена входа
  • Цена выхода
  • Итог сделки (плюс или минус и сколько)

USDCAD

Павел Коржовнаписал24 августа 2020 в 22:46

USDCAD

Тоже тут же влетел в минус сегодня, моя ошибка, зашел во флете, а там стопики собирали видать, тут надо было ждать еще уровней подтверждающих тренд вниз.

Виталий Гашковнаписал24 августа 2020 в 22:50

Павел Коржовнаписал24 августа 2020 в 22:46

USDCAD

Тоже тут же влетел в минус сегодня, моя ошибка, зашел во флете, а там стопики собирали видать, тут надо было ждать еще уровней подтверждающих тренд вниз.

Да, поспешили мы со входом.

Павел Коржовнаписал24 августа 2020 в 22:56

Виталий Гашковнаписал24 августа 2020 в 22:50

Павел Коржовнаписал24 августа 2020 в 22:46

USDCAD

Тоже тут же влетел в минус сегодня, моя ошибка, зашел во флете, а там стопики собирали видать, тут надо было ждать еще уровней подтверждающих тренд вниз.

Да, поспешили мы со входом.

Хотя видно же было, что цена резко пробила вниз и потом так же резко отскочила)

Я с дуру сразу поторопился и на автомат поставил и на работу пошел, а там уже через смарт увидел что две сделки открылись и пришлось их закрыть сразу)

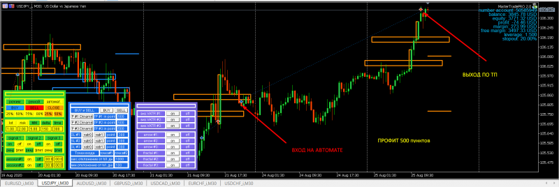
По Йене, хорошая сделка получилась!


спустя 41 секунду

Первый раз за все время увидела такой кружок для открытия сделки!


спустя 1 минуту

Сделка открылась на автомате!

Лариса Новикованаписала25 августа 2020 в 16:58


спустя 41 секунду

Первый раз за все время увидела такой кружок для открытия сделки!


спустя 1 минуту

Сделка открылась на автомате!

Лариса, а где сет для Новозеландца брали?

Виталий! Установила робот и больше ничего не делала!


спустя 31 секунду

Виталий! Какой Вы внимательный!!!

Подскажите, может кто уже писал и сталкивался с этим ....

1. Дополнительные настройки не убираются с экрана, хотя выставлено "выключено", исчезают на какое-то время потом снова появляются.

2. Счет открыт в Alpari как неттинговые, но при добавлении позиции через % открывается почему то новый ордер и так каждый раз. При нажатии close открывается новый ордер. 

3. При тестировании стратегий вообще за 10 дней теста было открытых позиций аж 15 штук и некоторые висели почти месяц. 

0.9 Mb
jpg
25.08
20:56, 25 августа 2020
1 Mb
jpg
tester
21:09, 25 августа 2020

У вас счет хедж. Измените на неттинг.

Небольшая сделка по USDJPY

Напомню что мы сделали личные кабинеты управления лицензиями, счетами и.т.д. Все должны были получить рассылку по этому поводу. 

Вам на почту должны были прийти логин и пароль от личного кабинета: https://mtlicense.info-dvd.ru/client/auth.php

В кабинете вы сможете менять свои торговые счета, не нужно будет писать запрос в поддержку и.т.д.

Робот нужно будет обновить из этого раздела: https://www.infoclub.info/group/mastertradepro2/tr...1312

Там же там есть и видео по веб кабинету.

Когда цена уже развернулась таким образом, стоит ли прикрывать позицию, не дождавшись ТП? Много вопросов еще осталось по поводу выхода из позиции и ее контролю.

Конечно нужно выходить, если видите что тренд сломался. Перебития предыдущего хая не произошло, цена тормозится и.т.д. Нужно выходить.

Павел Коржовнаписал24 августа 2020 в 22:56

Виталий Гашковнаписал24 августа 2020 в 22:50

Павел Коржовнаписал24 августа 2020 в 22:46

USDCAD

Тоже тут же влетел в минус сегодня, моя ошибка, зашел во флете, а там стопики собирали видать, тут надо было ждать еще уровней подтверждающих тренд вниз.

Да, поспешили мы со входом.

Я тоже с вами на канадце стоп выловил. Моя первая сделка была. Со сматра не замерил, что ещё флет.


спустя 51 секунду

Вторая на USDJPY стоп лосс тоже. Но вроде рабочий лось.


спустя 6 минут

Сейчас по Ауди в сделке. Но , думаю, тоже ошибочный вход, т.к. уровень Д1 почти в притык сверху.

Участие в обсуждениях доступно
только зарегистрированным участникам группы
Загрузка...